Sales Analytics Software: How to Utilize it For Success
sales analytics software,
Sales analytics software increases data visibility, enhances pipeline management, and helps forecast sales trends. It’s a must-have tool for improving your sales performance.
Curious about the features that make this possible?
We’ll discuss the incredible sales analytics features, their benefits, which metrics you should use to track them, and how to choose the right sales analytics software for your company.
Further Reading:
- Interested in AI-powered marketing? Discover how marketing teams utilize artificial intelligence, predictive analytics, and machine learning tools.
- Curious about conversational intelligence? Learn how to leverage it to boost your business.
This Article Contains:
- What Are Sales Analytics Software?
- 5 Incredible Sales Analytics Features
- 5 Amazing Benefits of Sales Analytics Software
- 11 Essential Sales Metrics to Track
- How To Choose the Best Sales Analytics Software
- iovox: Unmatched Sales Analytics Software to Drive Your Sales
Let’s begin.
What Are Sales Analytics Software?
Sales analytics platforms empower businesses to examine their sales data thoroughly, obtaining valuable insights for their sales performance.
How does it do this?
Through data analysis, sales metrics tracking, and predictive analytics.
By leveraging sales insights regarding sales cycles, retention rate, etc., businesses can make data-driven decisions, improve forecasting accuracy, and ultimately drive revenue growth.
Let’s look at the key features that make this possible.
5 Incredible Sales Analytics Features
These are the sales analytics features you should look for when evaluating software.
Increased Sales Data Visibility
Sales analytics tools consolidate data from multiple sources, including CRM systems, social media, ERP software, and marketing platforms, for thorough analysis and improved sales intelligence.
For example, iovox’s Dedicated Numbers assigns distinct phone numbers to specific marketing channels to evaluate your campaigns. This sales tracking feature enables you to see which campaigns generate the most leads.
Sales Reporting
An interactive sales dashboard featuring customizable metrics and visualizations enables you to monitor key performance indicators (KPIs), track performance trends, and gain real-time insights.
What type of real-time data insights does sales reporting produce?
It depends on the sales analytics tool. For example, iovox’s Analytics Dashboard allows you to view call data related to total calls, duration, missed calls, missed calls by branch, keywords mentioned in the calls and calls per ad campaign.
Integrations
For seamless data flow, sales analytics software integrates with several CRM systems and marketing platforms. You’ll get a bird’s eye view of all your sales data from one convenient sales dashboard.
Looking for software to integrate call data with your CRM?
The iovox API allows you to connect your current CRM systems with calls originating from the iovox call-tracking platform. Thus, you can track all customer interactions from the comfort of your CRM.
Sales Forecasting
Sales analytics tools can predict sales trends, identify opportunities, enable proactive risk management, and inform revenue operations based on historical data.
Leveraging predictive analytics and revenue intelligence can enhance your strategic planning, optimize resource allocation, and keep you ahead of competitors.
Effective Sales Pipeline Management
Lead tracking features of a sales analytics tool integrate sales data concerning website visits, keywords from calls, and sentiment analysis for effortless pipeline management.
Sales pipeline analytics can help you monitor where leads are in their sales cycle, provide the proper assistance at the right time, and pinpoint the best moments to upsell and cross-sell.
Now that you understand sales analytics features, let’s look at how they benefit your revenue operations.
5 Amazing Benefits of Sales Analytics Software
Here’s how sales analytics software boost your sales operations:
Increased Sales Performance
The combination of analyzing past sales and customer behavior with sales forecasting ultimately puts you in a better position to generate more conversions.
Increased knowledge about what your customers want and what they will need in the future enhances your revenue intelligence. Ultimately, you can better tailor your product and sales strategy to meet your customers’ needs
Improved Customer Experience
Once you know what your leads want, you’ll be able to provide them with customer support that increases the chances of them converting.
Not only can you gather sales data about which techniques and marketing campaigns generate the most leads, but you can also use product data analytics to understand the features of your product they like and dislike.
How to achieve this?
By leveraging a feature like Conversational AI to understand customer sentiment and track trends that correlate with customer satisfaction. You can then update your sales, marketing, and product development accordingly.
Improved Decision Making
Sales analytics software delivers crucial insights from data analysis, empowering you to make informed decisions on your sales approach.
Essentially, you can ground your decisions in a far more comprehensive data set, as sales analytics software allows you to process and evaluate information from several sources for better sales intelligence.
Targeted Sales Campaigns
By closely examining customer sales data, sales analytics software assists in precisely identifying target audiences. You’ll understand who is interested in your product and why.
This sales analysis allows you to customize your marketing and sales campaigns for targeted customer outreach. Not only does this generate better sales engagement, but it also saves you time and money that you’d spend on ineffective advertising.
Streamlined Sales Operations
Because sales analytics software automates routine tasks and processes large sales data sets efficiently, it saves your team time spent on non-sales generating tasks.
For example, Missed Call Alerts automatically remind your team to follow up with leads, saving them time tracking missed calls. In addition, you can use Call Rules to route calls from specific sources to the correct representatives, reducing lead response time and streamlining each sales pipeline.
Sales analytics software offers several benefits that can transform your business into one of your industry’s sales leaders. However, to access them, you need to utilize the software correctly.
Read on to find out how.
11 Essential Sales Metrics to Track
Here are the metrics you should track using sales analytics tools to generate the most valuable insights.
Total Revenue
Total revenue is the amount of money you generate across a specific period.
While it’s a valuable way to benchmark your success, you should also track your profit – the amount you earn after expenses. This sales metric will give you a more accurate estimate of your progress.
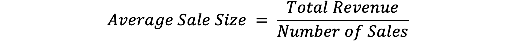
Average Sale Size
This metric measures the average amount you make from each sale or transaction. The formula is:
![Average Sale Size]()
Knowing the value of each sale helps you evaluate your pricing strategy, identify trends in customer spending, and determine which products generate the most revenue.
Conversion Rate
This sales metric is the percentage of leads that make a purchase. You calculate it using:
![Conversion Rate]()
By monitoring and optimizing conversion rates, you can enhance your marketing effectiveness, improve your customer acquisition processes, and ultimately drive higher revenue.
Sales Cycle Length
Sales cycle length is the time between a lead’s first interaction with your product and making a purchase. You can measure it using any period – seconds, minutes, hours, days, etc. Ultimately, you’ll choose a unit that’s most applicable to your business.
Why is it important?
It helps you improve sales forecasting, set realistic sales targets, and effectively allocate your resources. If you know which products have longer cycle lengths, you can assign more staff to manage them.
Customer Lifetime Value
This metric indicates how much you’ll make from each customer throughout their time with your company. You can calculate it using:
![Customer Lifetime Value]()
You can use CLV to allocate resources to focus on more profitable customers, segment leads, forecast sales, assess your customer relationship management, and evaluate the ROI of each sales strategy.
Sales Growth
Sales growth compares income generated over one period with a previous period:
![Sales Growth]()
It’s a crucial indicator of your company’s health and performance, reflecting its ability to expand market share, attract customers, and generate future sales.
Retention Rate
You can use the retention rate to measure the percentage of customers continuing to purchase from a company over a specified period of time.
![Retention Rate]()
It is a crucial indication of customer satisfaction and how impactful your customer retention strategies are.
Sales by Product
Analyzing product sales enables you to evaluate the performance of each product individually, empowering data-driven decisions to optimize sales management, assess your product lineup, and stimulate revenue growth.
While calculating sales per product is essential, you need to combine this metric with the sale size for each product. This way, you understand which products sell the most and which generate the most revenue.
Sales by Channel
Sales by channel refers to the sales productivity of different marketing channels through which you sell your products. It’s a key metric for optimal sales management.
Understanding sales pipeline performance helps assess the effectiveness of each channel in reaching. Sales pipeline analytics can help identify underperforming channels and enable you to evaluate whether they may offer an untapped sales opportunity.
You can then improve your resource allocation, problematic channels, sales strategy, pricing, and distribution to maximize future sales.
Customer Acquisition Cost
Customer Acquisition Cost (CAC) refers to the expenses involved in acquiring a new customer. It’s critical for assessing the effectiveness and efficiency of marketing and sales activity:
![Customer Acquisition Cost]()
You can use CAC to measure the sustainability of your marketing and sales initiatives, guide your budgeting decisions, and predict future expenses.
Salesperson Performance
Evaluating the performance of your sales reps is critical to optimizing your sales process. You should conduct individual and sales team performance evaluations for maximum insight. You can evaluate their sales activity using:
- Sales revenue: Total revenue generated by sales reps.
- Sales volume: The number of units sold.
- Conversion rates: Percentage of leads or prospects converted into customers (by each employee).
- Average sale size: The average value of each sale a sales rep makes.
- Sales cycle length: The time taken to close deals from initial contact to sale.
- Customer satisfaction: The level of feedback and satisfaction from customers.
Tracking these metrics allows your sales manager to understand each employee’s specific strengths and weaknesses.
They can then help them improve their sales by targeting their training toward areas that need improvement. In addition, your sales manager can identify what makes your sales leaders successful and encourage others to replicate their approach.
Sales tracking is one of the central ways you gain actionable insights and hit your sales target.
However, you’ll also need software that suits your business needs. Here’s how to choose:
How To Choose the Best Sales Analytics Software
To decide on what sales analytics tool is the best for your needs, consider the following:
Your Specific Use Case
Once you have clearly defined your sales goals, you can look for software that offers the features you need to achieve them. This way, you avoid getting bogged down with unnecessary features and overwhelmed by non-applicable sales data.
Ease of Use
You need intuitive, straightforward software to ensure quick decision-making, easy adoption, and low training costs.
A sales analytics tool should streamline your sales department. While there may be a learning curve, you shouldn’t have to waste countless hours integrating software into your sales process.
Price
While more top sales analytics tools may offer extensive features, it might not be the most cost-effective choice if you only require a few essential functionalities. Sometimes, less is more when it comes to software features.
Integration Options
You’ll lose a lot of time manually transferring sales data, which your sales reps could spend on revenue-generating tasks.
This is why your sales analytics tool needs to integrate with your CRM system and your other core platforms to ensure smooth workflows.
Scalability
Software that accommodates your business growth will save you a lot of time in the future. If you need to change software when your company reaches a specific size, you’ll likely lose time transferring sales data and learning to navigate a new solution.
Consider the sales data volume your solution can handle and how well the features translate to an upscaled version of your business.
Looking for a sales analytics tool that’s easy to use, offers several integrations, and accommodates your growth?
iovox is the way to go! Scroll down to learn more.
iovox: Unmatched Sales Analytics Software to Drive Your Sales
iovox is one of the best sales analytics software, redefining how you leverage call data.
By specializing in call tracking and analytics, iovox turns your phone conversations into a treasure trove of insights to help you reach your sales target.
Whether you aim to enhance customer experiences, refine sales strategies, optimize operations, or boost conversions and lead generation, iovox’s features will cater to your needs.
With iovox, you’ll:
Improve Lead Response Time
Reducing lead response time increases the number of sales you’ll make. The longer you take to get back to leads, the more time you give them to purchase from a competitor.
How can iovox help?
First, leads submit their questions online. iovox tools mask the number (or email address) and send it to your reps. While your team responds, iovox tracks the interaction and delivers all the data straight to your dashboard.
Create Targeted Sales Campaigns
With WebConnect, you can add call buttons to specific web pages and track incoming calls from them.
Knowing which webpage a lead calls from helps your sales team tailor their approach. A lead calling from the pricing page likely wants to make a purchase. Meanwhile, someone calling from a product features page probably wants to learn more about your product.
You can then update these web pages to provide your leads with the information they need and incentivize them to take action.
Enhance Sales Call Techniques
Using sales data analysis to correlate your sales strategies with successful conversions is a great way to understand what works and what doesn’t.
Enter iovox’s Transcripts feature.
Now, you can automatically detect important keywords in calls using Conversational AI. Then, you can match specific keywords with conversions. This sales analysis tool shows you which tactics work and which techniques require improvement.
Wrapping Up
Sales analytics software improves your data analytics, integrates with your CRM systems, and predicts future sales.
This technology will help you improve your customer experience, ground your decisions in a more accurate sales data analysis, and ultimately, boost your sales productivity.
Looking for the best sales analytics software to optimize your sales calls?
iovox offers state-of-the-art call tracking and sales analysis features to level up your sales process for maximum profit.
To connect, simply click the call button below, and we’ll be in touch with you shortly. You can also email us at hello@iovox.com or give us a call toll-free from within the US at +1 888 369 9519.
From outside the US, please reach us at one of these numbers:
London, UK +44 (0)20 7099 1070
Sydney, Australia +61 (0)2 8520 3530
Paris, France +33 (0)1 84 88 46 40





